公司概况 企业数智化 企业文化 荣誉资质
公司新闻 信息公告
创新药CDMO服务 仿制药原料药、中间体服务 产品库
手性药物合成与分析技术 晶型盐型工程技术 生物酶工程技术 连续流工程技术 光化学技术
质量方针 质量体系运行 法规注册 质量审计与注册核查
EHS方针 三标一体化认证 安全管理 职业健康 节能环保 知识产权保护体系 商业道德管理体系
人才发展 招聘岗位
在线留言 联系方式
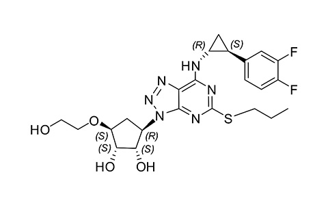
CAS号: 2413374-74-8
通用名: CM054
API编号: CM054
项目编号: 1043-1
名称:Pyrazolo[1,5-a]pyrazine-2-methanol, 4,5,6,7-tetrahydro-, hydrochloride (1:2)
CAS号:1806763-56-3
通用名:CM055
API编号:CM055
项目编号:1044-1
产品名称
您的称呼
手机号码
询价内容